다양한 범주의 병행성 문제 해결을 위해서는 락과 조건 변수 둘 다 필요하다. 이번 장에서 다룰 세마포어는 락과 컨디션 변수로 모두 사용할 수 있다.
핵심 질문 : 세마포어를 어떻게 사용하는가 락과 컨디션 변수 대신에 세마포어를 사용하는 방법은 무엇인가? 세마포어의 정의는 무엇인가? 이진 세마포어는 무엇인가? 락과 컨디션 변수를 사용하여 세마포어를 만드는 것이 가능한가? 그 반대로 세마포어를 사용하여 락과 조건 변수를 만드는 것이 가능한가?
1. 세마포어: 정의
세마포어는 정수 값을 갖는 객체로서 두 개의 루틴으로 조작할 수 있다. POSIX 표준에서 이 두 개의 루틴은 sem_wait(), sem_post()이다. 세마포어는 초깃값에 의해 동작이 결정되기 때문에 사용 전에 초기화를 해야 한다.
#include <semaphore.h>
sem_t s;
sem_init(&s, 0, 1);
세마포어 s를 선언 후 3번째 인자로 1을 전달하여 세마포어의 값을 1로 초기화한다. sem_init()의 두 번째 인자는 모든 예제에서 0이다. 이 값은 같은 프로세스 내의 쓰레드 간에 세마포어를 공유한다는 뜻이다. 다른 값을 사용하는 예시 (다른 프로세스간 동기화 제공) 는 docs를 읽어보자.
초기화된 후에는 sem_wait(), sem_post()라는 함수를 호출하여 세마포어를 다룰 수 있다.
int sem_wait(sem_t *s) {
decrement the value of semaphore s by one;
wait if value of semaphore s is negative;
}
int sem_post(sem_t *s) {
increment the value of semaphore s by one;
if there are one or more threads waiting, wake one;
}
sem_wait()함수는 즉시 리턴하거나 (세마포어의 값이 1 이상이면), 아니면 해당 세마포어 값이 1 이상이 될 때까지 호출자를 대기시킨다. 다수의 쓰레드들이sem_wait()을 호출할 수 있기 때문에, 대기큐에는 다수의 쓰레드가 존재할 수 있다. 대기하는 법에는 회전과 재우기 두 가지가 있다는 것을 기억하자.sem_post()함수는 대기하지 않는다. 세마포어 값을 증가시키고 대기 중인 쓰레드 중 하나를 깨운다.- 세마포어가 음수라면 그 값은 현재 대기 중인 쓰레드의 개수와 같다.
이 두 개의 함수는 atomic하게 실행된다고 가정한다.
2. 이진 세마포어 (락)
우리가 처음으로 세마포어를 적용할 곳은 ‘락’이다.
sem_t m;
sem_init(&m, 0, X); // X로 세마포어 초기화하기.
sem_wait(&m);
// 임계 영역
sem_post(&m);
X는 어떤 값이 되어야 할까? 조금만 생각해봐도 1이 되어야 한다는 사실을 알 수 있다.
쓰레드가 2개라고 가정해보자. 첫 번째 쓰레드가 세마포어 값을 1 감소시켜 0으로 만든다. 세마포어의 값이 음수가 아니므로 리턴하고 진행한다. 첫 번째 쓰레드가 임계 영역에 있을 때 두 번째 쓰레드가 sem_wait()을 호출하여 임계 영역 진임을 시도한다면 어떻게 될까?
이 경우 두 번째 쓰레드가 세마포어 값을 -1로 감소시키고, 대기에 들어간다. 첫 번째 쓰레드가 다시 실행되면 sem_post()를 호출하고 세마포어 값을 0으로 증가시키고, 잠자던 두 번째 쓰레드를 깨운다. 그러면 두 번째 쓰레드가 락을 획득할 수 있다.
락은 두 개의 상태 (사용 가능, 사용 중) 만 존재하므로 이진 세마포어 (binary semaphore) 라고도 불린다.
3. 컨디션 변수로서의 세마포어
어떤 조건이 참이 되기를 기다리기 위해 현재 쓰레드를 멈출 때에도 세마포어는 유용하게 사용된다.
sem_t s;
void *child(void *arg) {
printf(“child\n ”);
sem_post(&s); // 시그널 전달: 동작 끝
return NULL;
}
int main(int argc, char *argv[]) {
sem_init(&s, 0, X); // X의 값은 무엇이 되어야 할까?
printf(“parent: begin\n ”);
pthread_t c;
Pthread_create(c, NULL, child, NULL);
sem_wait(&s); // 자식을 여기서 대기
printf(“parent: end\n ”);
return 0;
}
다음과 같은 실행 결과를 얻고자 한다.
parent: begin
child
parent: end
세마포어를 이용하여 어떻게 이 효과를 만들 수 있을까? 답은 의외로 간단하다. 코드에서 볼 수 있듯이, 부모 프로세스는 자식 프로세스 생성 후 sem_wait()를 호출하여 자식의 종료를 대기한다. 자식은 sem_post()를 호출하여 종료되었음을 알린다.
중요한 질문이 있다. 세마포어 값을 무엇으로 초기화할까?
정답은 0이다.
다음과 같은 두 가지 경우를 통해 그 이유를 알아보자.
-
자식 프로세스 생성 후, 아직 자식 프로세스가 실행을 시작하지 않은 경우다 (준비 큐에만 들어 있고 실행 중이 아니다). 이 경우 자식이
sem_post()를 호출하기 전에 부모가sem_wait()를 호출할 것이다. 부모 프로세스는 자식이 실행될 때까지 대기해야 한다. 이를 위해서는wait()호출 전에 세마포어 값이 0보다 같거나 작아야 한다. 때문에 0이 초기값이 되어야 한다. 부모가 실행되면 세마포어 값을 감소시키고 (-1로) 대기한다. 자식이 실행되었을 때sem_post()를 호출하여 세마포어의 값을 0으로 증가시킨 후 부모를 깨운다. 그러면 부모는sem_wait()에서 리턴을 하여 프로그램을 종료시킨다. -
부모 프로세스가
sem_wait()를 호출하기 전에 자식 프로세스의 실행이 종료된 경우이다. 이 경우, 자식이 먼저sem_post()를 호출하여 세마포어의 값을 0에서 1로 증가시킨다. 부모가 실행할 수 있는 상황이 되면sem_wait()를 호출한다. 세마포어 값이 1인 것을 발견할 것이다. 부모는 세마포어 값을 0으로 감소시키고sem_wait()에서 대기 없이 리턴한다. 이 방법 역시 의도한 결과를 만들어낸다.
4. 생산자/소비자 (유한 버퍼) 문제
이 문제는 이전 장 OSTEP 30 Condition Variables에서 상세히 설명했다. 이 문제를 해결하기 위해 empty와 full이라는 두 개의 세마포어를 사용한다.
int buffer[MAX];
int fill = 0;
int use = 0;
void put(int value) {
buffer[fill] = value; // f1
fill = (fill + 1) % MAX; // f2
}
int get() {
int tmp = buffer[use]; // g1
use = (use + 1) % MAX; // g2
return tmp;
}
sem_t empty;
sem_t full;
void *producer(void *arg) {
int i;
for (i = 0; i < loops; i++) {
sem_wait(&empty); // P1
put(i); // P2
sem_post(&full); // P3
}
}
void *consumer(void *arg) {
int i, tmp = 0;
while (tmp != −1) {
sem_wait(&full); // C1
tmp = get(); // C2
sem_post(&empty); // C3
printf(“%d\n ”, tmp);
}
}
int main(int argc, char *argv[]) {
// . . .
sem_init(&empty, 0, MAX); // empty는 MAX
sem_init(&full, 0, 0); // full은 0
// . . .
}
생산자와 소비자 쓰레드가 각 하나씩 있고 CPU도 하나인 상황에 대해 살펴보자. 소비자가 먼저 실행했다고 가정하면 소비자 쓰레드가 그림에서 C1 라인에 먼저 도달하여 sem_wait(&full)을 호출한다. 변수full의 값은 0으로 초기화되었기 때문에 해당 명령으로 인해 full의 값은 -1로 감소되고, 소비자는 대기한다. 다른 쓰레드가 sem_post()를 호출해서 full 변수가 증가하기를 기다려야 한다.
그런 이후에 생산자 쓰레드가 실행하여 P1 라인에서 sem_wait(&empty) 루틴을 호출한다. empty 변수가 MAX (이 경우에는 1)로 설정되었기 때문에 소비자와 다르게 생산자는 다음 문장을 계속 실행한다. empty 변수는 감소하여 0이 되고 생산자가 데이터 값을 버퍼의 첫 번째 공간에 넣는다 (P2 라인). 그런 후에 생산자는 P3 라인의 sem_post(&full)를 호출하여 full 세마포어의 값을 -1에서 0으로 변경하고 소비자 쓰레드를 깨운다 (대기 상태에서 준비 상태로 바뀐다).
만약 MAX 값이 1보다 크고 생산자와 소비자 쓰레드들이 여러 개 있다면? 경쟁 조건이 발생할 것이다. put(), get()에서 경쟁 조건이 발생한다.
두 개의 생산자 Pa와 Pb가 있는데, 두 쓰레드가 put() 을 거의 동시에 호출하였다고 해 보자. Pa가 먼저 실행되어서 버퍼에 첫 공간에 값을 넣기 시작한다 (f1 라인에서 fill = 0이다). Pa 쓰레드가 fill 카운터 변수를 1로 변경하기 전에 인터럽트가 걸렸다. 생산자 Pb가 실행되고 f1 라인에서 마찬가지로 버퍼의 첫 번째 공간에 데이터를 삽입한다. Pa가 기록한 이전의 값은 새로운 값으로 대체된다.
상호 배제 추가
버퍼를 채우고 버퍼에 대한 인덱스를 증가하는 동작은 임계 영역이기 때문에 신중하게 처리해야 한다. 지금까지 배운 이진 세마포어와 몇 개의 락을 추가하여 해결해보자.
sem_t empty;
sem_t full;
sem_t mutex;
void *producer(void *arg) {
int i;
for (i = 0; i < loops; i++) {
sem_wait(&mutex); // P0
sem_wait(&empty); // P1
put(i); // P2
sem_post(&full); // P3
sem_post(&mutex); // P4
}
}
void *consumer(void *arg) {
int i, tmp = 0;
while (tmp != −1) {
sem_wait(&mutex); // C0
sem_wait(&full); // C1
tmp = get(); // C2
sem_post(&empty); // C3
sem_post(&mutex); // C4
printf(“%d\n ”, tmp);
}
}
int main(int argc, char *argv[]) {
// . . .
sem_init(&empty, 0, MAX); // empty는 MAX
sem_init(&full, 0, 0); // full은 0
sem_init(&mutex,0 ,1); // lock은 1로 초기화
// . . .
}
이렇게 하면 교착 상태가 발생한다.
생산자와 소비자 쓰레드가 각 하나씩 있다고 하자. 소비자가 먼저 실행이 되었다. mutex(c0 라인)를 획득하고 full 변수에 대하여 sem_wait()(c1 라인)를 호출한다. 아직 데이터가 없기 때문에 소비자는 대기해야 하고 CPU를 양보해야 한다.
여기서 중요한 것은 소비자가 아직도 락을 획득하고 있다는 것이다. 생산자가 실행된다. 실행이 가능하면 데이터를 생성하고 소비자 쓰레드를 깨울 것이다. 불행하게도 이 쓰레드는 먼저 mutex 세마포어에 대해서 sem_wait()를 실행한다(p0 라인). 이미 락은 소비자가 획득한 상태이기 때문에 생산자 역시 대기에 들어간다.
순환 고리가 생겼다. 소비자는 mutex를 갖고 있으면서 다른 full 시그널을 발생시키기를 대기하고 있다. full 시그널을 발생시켜야 하는 생산자는 mutex에서 대기중이다. 생산자와 소비자가 서로를 기다린다. 전형적인 교착 상태이다.
제대로 된 해법
이렇게 락의 범위를 줄여야 한다. 뮤텍스가 임계 영역만 감싸도록 바꿔보자.
sem_t empty;
sem_t full;
sem_t mutex;
void *producer(void *arg) {
int i;
for (i = 0; i < loops; i++) {
sem_wait(&empty); // p1
sem_wait(&mutex); // p1.5
put(i); // p2
sem_post(&mutex); // p2.5
sem_post(&full); // p3
}
}
void *consumer(void *arg) {
int i;
for (i = 0; i < loops; i++) {
sem_wait(&full); // c1
sem_wait(&mutex); // c1.5
int tmp = get(); // c2
sem_post(&mutex); // c2.5
sem_post(&empty); // c3
printf(“%d\n ”, tmp);
}
}
int main(int argc, char *argv[]) {
// . . .
sem_init(&empty, 0, MAX);
sem_init(&full, 0, 0);
sem_init(&mutex, 0,1);
// . . .
}
멀티 쓰레드 프로그램에서 사용 가능한 유한 버퍼를 만들었다!
5. Reader-Writer 락
삽입 연산은 리스트의 상태를 변경하고 (전통적인 임계 영역 보호 방식으로 해결 가능하다), 검색은 자료 구조를 단순히 읽기만 한다. 삽입 연산이 없다는 보장만 된다면 다수의 검색 작업을 동시에 수행할 수 있다. 이와 같은 경우를 위해 만들어진 락이 reader-writer 락이다
typedef struct _rwlock_t {
sem_t lock; // 이진 세마포어 (기본 락)
sem_t writelock; // 하나의 쓰기 또는 다수의 읽기 락을 위한 락
int readers; // 임계 영역 내에 읽기를 수행중인 reader의 수
} rwlock_t;
void rwlock_init(rwlock_t *rw) {
rw−>readers = 0;
sem_init(&rw−>lock, 0, 1);
sem_init(&rw−>writelock, 0, 1);
}
void rwlock_acquire_readlock(rwlock_t *rw) {
sem_wait(&rw−>lock); // readers를 변경하기 위해 이진 세마포어 사용
rw−>readers++;
if (rw−>readers == 1)
sem_wait(&rw−>writelock); // 읽기용 락이 writelock 획득
sem_post(&rw−>lock);
}
void rwlock_release_readlock(rwlock_t *rw) {
sem_wait(&rw−>lock);
rw−>readers−−;
if (rw−>readers == 0)
sem_post(&rw−>writelock); // 마지막으로 읽기용 락이 writelock 해제
sem_post(&rw−>lock);
}
void rwlock_acquire_writelock(rwlock_t *rw) {
sem_wait(&rw−>writelock);
}
void rwlock_release_writelock(rwlock_t *rw) {
sem_post(&rw−>writelock);
}
이 코드는 간단하다. 자료 구조를 “갱신”하려면 새로운 동기화 연산 쌍을 사용한다. 락을 획득하기 위해서는 rwlock_acquire_writelock()을 사용하고 해제하기 위해서 rwlock_release_writelock()을 사용한다. 내부적으로는 writelock 세마포어를 사용하여 하나의 쓰기 쓰레드만이 락을 획득할 수 있도록 하여, 임계 영역 진임 후에 자료 구조를 갱신한다.
읽기 락을 획득시 읽기 쓰레드(reader)가 먼저 락을 획득하고 읽기 중인 쓰레드의 수를 표현하는 reader 변수를 증가시킨다. 첫 번째 읽기 쓰레드가 읽기 락을 획득할 때 중요한 과정이 있다. 읽기 락을 획득시 writelock 세마포어에 대해 sem_wait()을 호출하여 쓰기 락을 함께 획득한다. 획득한 쓰기 락은 읽기 락을 해제할 때 sem_post()로 다시 해제한다.
이 과정을 통해서 읽기 락을 획득하고 난 후, 다른 읽기 쓰레드들이 읽기 락을 획득할 수 있도록 한다. 다만, 쓰기 락을 획득하려는 쓰기 쓰레드 (writer)들은 모든 읽기 쓰레드가 끝날 때까지 대기하여야 한다. 임계 영역을 빠져나오는 마지막 읽기 쓰레드가 “writelock”에 대한 sem_post()를 호출하여 대기 중인 쓰기 쓰레드가 락을 획득할 수 있도록 한다.
이 방식은 몇가지 단점이 존재한다.
쓰기 쓰레드에게 불리한 방식이다. 쓰기 쓰레드에게 기아 현상이 발생할 수 있다. 쓰기 우선 정책 등을 사용해서 기아 현상을 줄일 수 있다.
typedef struct _rwlock_t {
sem_t lock; // 기본 락
sem_t writelock; // 쓰기 또는 읽기 락
sem_t writer_sem; // 쓰기 작업을 위한 세마포어
int readers; // 읽기 작업 수
int waiting_writers; // 대기 중인 쓰기 작업 수
} rwlock_t;
void rwlock_init(rwlock_t *rw) {
rw->readers = 0;
rw->waiting_writers = 0;
sem_init(&rw->lock, 0, 1);
sem_init(&rw->writelock, 0, 1);
sem_init(&rw->writer_sem, 0, 1);
}
void rwlock_acquire_readlock(rwlock_t *rw) {
sem_wait(&rw->writer_sem); // 쓰기 작업이 대기 중일 경우 차단
sem_wait(&rw->lock);
rw->readers++;
if (rw->readers == 1) {
sem_wait(&rw->writelock);
}
sem_post(&rw->lock);
sem_post(&rw->writer_sem);
}
void rwlock_release_readlock(rwlock_t *rw) {
sem_wait(&rw->lock);
rw->readers--;
if (rw->readers == 0) {
sem_post(&rw->writelock);
}
sem_post(&rw->lock);
}
void rwlock_acquire_writelock(rwlock_t *rw) {
sem_wait(&rw->writer_sem);
rw->waiting_writers++;
sem_post(&rw->writer_sem);
sem_wait(&rw->writelock);
sem_wait(&rw->writer_sem);
rw->waiting_writers--;
sem_post(&rw->writer_sem);
}
void rwlock_release_writelock(rwlock_t *rw) {
sem_post(&rw->writelock);
}
이렇게 구현하면, 쓰기 작업이 대기 중일 때 새로운 읽기 작업이 락을 획득하지 못하게 된다. 이는 writer_sem 세마포어를 통해 관리된다. 이렇게 하면 쓰기 작업이 대기 중일 때 읽기 작업이 쌓이는 것을 방지할 수 있으므로 쓰기 작업의 기아 현상을 줄일 수 있다.
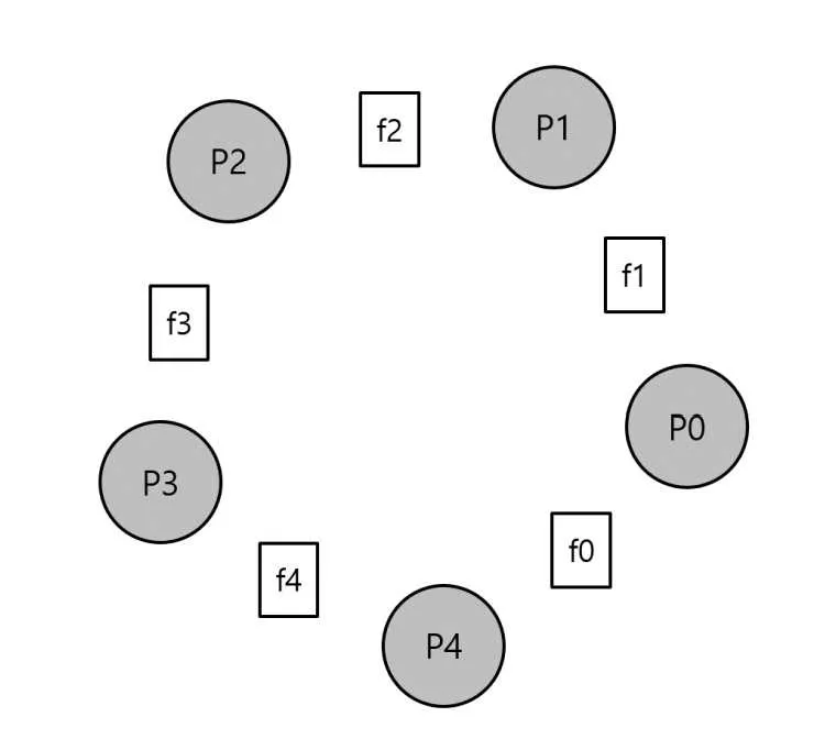
6. 식사하는 철학자

다섯 명의 “철학자”가 식탁 주위를 둘러앉았다. 총 다섯 개의 포크가 철학자와 철학자 사이에 하나씩 놓여 있다. 철학자는 식사하는 때가 있고 생각하는 때가 있다. 생각 중일 때는 포크가 필요 없다. 자신의 왼쪽과 오른쪽에 있는 포크를 들어야 식사를 할 수 있다. 이 포크를 잡기 위한 경쟁과 그에 따른 동기화 문제가 병행 프로그래밍에서 다루려는 식사하는 철학자 문제이다.
while (1) {
think();
getforks();
eat();
putforks();
}
주요 쟁점은 getfork()와 putfork()의 루틴을 작성하되 교착 상태의 발생을 방지해야 하고, 어떤 철학자도 못 먹어서 굶주리면 안되며 병행성이 높아야 한다. 이 문제를 해결해보자.
int left(int p) { return p; }
int right(int p) { return (p + 1) % 5; }
이 문제를 해결하기 위해서 세마포어가 필요하다. 각 포크마다 한 개씩 총 다섯 개가 있고 sem_t fork[5]로 정의한다.
void getforks() {
sem_wait(forks[left(p)]);
sem_wait(forks[right(p)]);
}
void putforks() {
sem_post(forks[left(p)]);
sem_post(forks[right(p)]);
}
포크가 필요할 때 하나의 락을 획득한다. 그리고 식사가 끝나면 순서대로 놓는다. 이렇게 하면 교착 상태가 발생한다. 각 철학자가 동시에 자기 왼쪽에 있는 포크를 집으면 평생 기다려야 한다.
해답: 의존성 제거
간단한 해법 중 하나는 최소한 하나의 철학자가 다른 순서로 포크를 집도록 하는 것이다.
void getforks() {
if (p == 4) {
sem_wait(forks[right(p)]); // 오른쪽 포크 먼저 집도록
sem_wait(forks[left(p)]);
} else {
sem_wait(forks[left(p)]);
sem_wait(forks[right(p)]);
}
}
이렇게 해서 환형 대기 상태를 끊을 수 있다.
7. 쓰레드 쓰로틀링
너무 많은 쓰레드가 동시에 작업을 수행하지 않도록, 세마포어를 사용하여 동시에 실행되는 쓰레드 수를 제한한다.
문제 상황 예시
예를 들어, 수백 개의 쓰레드를 만들어 병렬 작업을 수행한다고 가정하자. 코드의 특정 부분에서는 각 쓰레드가 많은 양의 메모리를 점유해 계산을 수행하는데, 이 부분을 ‘메모리 집중 구역’이라고 칭하자. 만약 모든 쓰레드가 동시에 이 메모리 집중 구역에 진입하게 되면, 물리 메모리의 총량을 초과하는 메모리 할당 요청이 발생할 것이다. 이로 인해 시스템은 스래싱(thrashing) 을 시작하여, 디스크와의 페이지 교환이 빈번하게 일어나고 전체 계산 성능이 급격히 저하될 것이다.
세마포어를 이용한 해결 방안
이 문제를 해결하는 간단한 방법은 세마포어를 사용하는 것이다. 세마포어의 초기 값은 메모리 집중 구역에 동시에 진입할 수 있는 최대 쓰레드 수로 설정한다. 그 다음, 이 구역에 sem_wait()와 sem_post() 함수 호출을 감싸서 세마포어를 적용한다. 이렇게 하면, 세마포어가 자연스럽게 메모리 집중 구역에서 동시에 실행될 수 있는 쓰레드 수를 제한하게 된다.
8. 세마포어 구현
저수준 동기화 기법인 락과 컨디션 변수를 사용하여 우리만의 세마포어를 만들어 보자. (Zemaphore)
typedef struct __Zem_t {
int value;
pthread_cond_t cond;
pthread_mutex_t lock;
} Zem_t;
// 오직 하나의 쓰레드만 이 문장을 호출할 수 있다.
void Zem_init(Zem_t *s, int value) {
s−>value = value;
Cond_init(&s−>cond);
Mutex_init(&s−>lock);
}
void Zem_wait(Zem_t *s) {
Mutex_lock(&s−>lock);
while (s−>value <= 0)
Cond_wait(&s−>cond, &s−>lock);
s−>value−−;
Mutex_unlock(&s−>lock);
}
void Zem_post(Zem_t *s) {
Mutex_lock(&s−>lock);
s−>value++;
Cond_signal(&s−>cond);
Mutex_unlock(&s−>lock);
}
Dijkstra가 정의한 세마포어와 여기서 정의한 제마포어 간의 중요한 차이 중 하나는 세마포어의 음수 값이 대기 중인 쓰레드의 수를 나타낸다는 부분이다. 사실 제마포어에서는 이 값이 0 보다 작을 수가 없다. 이 방식이 구현하기도 쉽고 현재 Linux에 구현된 방식이기도 하다.
세마포어를 사용하여 락과 컨디션 변수를 만드는 것은 매우 까다로운 문제이다. 세마포어로 컨디션 변수 구현에 성공한다면, 당신은 뛰어난 개발자의 소양을 가지고 있는 것이다.